茶園鄉人民政府2018年度部門決算
目 錄
第一部分 茶園鄉人民政府部門概況
一、部門主要職責
二、部門基本情況
第二部分 2018年度部門決算表
一、收入支出決算總表
二、收入決算表
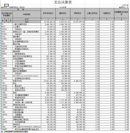
三、支出決算表
四、財政撥款收入支出決算總表
五、一般公共預算財政撥款支出決算表
六、一般公共預算財政撥款基本支出決算表
七、一般公共預算財政撥款“三公”經費支出決算
表
八、政府性基金預算財政撥款收入支出決算表
九、國有資產占用情況表
第三部分 2018年度部門決算情況說明
一、收入決算情況說明
二、支出決算情況說明
三、財政撥款支出決算情況說明
四、一般公共預算財政撥款基本支出決算情況說明
五、一般公共預算財政撥款“三公”經費支出決算
情況說明
六、機關運行經費支出情況說明
七、政府采購支出情況說明
八、國有資產占用情況說明
九、預算績效情況說明
第四部分 名詞解釋
第一部分 茶園鄉人民政府概況
一、部門主要職能
(1)制定和組織實施經濟、科技和社會發展計劃,制定資源開發技術改造和產業結構調整方案,組織指導好各業生產,搞好商品流通,協調好本鄉與外地區的經濟交流與合作,抓好招商引資,人才引進項目開發,不斷培育市場體系,組織經濟運行,促進經濟發展。
(2)制定并組織實施村鎮建設規劃,部署重點工程建設,地方道路建設及公共設施,水利設施的管理,負責土地、林木、水等自然資源和生態環境的保護,做好護林防火工作。
(3)負責本行政區域內的民政、計劃生育、文化教育、衛生、體育等社會公益事業的綜合性工作,維護一切經濟單位和個人的正當經濟權益,取締非法經濟活動,調解和處理民事糾紛,打擊刑事犯罪維護社會穩定。
(4)按計劃組織本級財政收入,完成國家財政計劃,管好財政資金,增強財政實力。
(5)抓好精神文明建設,豐富群眾文化生活,提倡移風易俗,反對封建迷信,破除陳規陋習,樹立社會主義新風尚。
(6)完成上級政府交辦的其它事項。
二、部門基本情況
納入本套部門決算匯編范圍的單位共1 個,包括:……。
本部門2018年年末編制人數23人,其中行政編制19人,事業編制4人;年末實有人數23人,其中在職人員23人,離休人員0人,退休人員0人;年末學生人數0人。
第二部分 2018年度部門決算表









第三部分 2018年度部門決算情況說明
一、收入決算情況說明
本部門2018年度收入總計1936.13萬元,其中年初結轉和結余391.98萬元,較2017年增加3.06萬元,增長0.78 %;本年收入合計1544.14萬元,較2017年增加433.73萬元,增長39.06%,主要原因是:2018年脫貧攻堅項目增加。
本年收入的具體構成為:財政撥款收入1544.15萬元,占100%;事業收入0萬元,占0%;經營收入0萬元,占0%;其他收入0萬元,占0%。
二、支出決算情況說明
本部門2018年度支出總計1936.13萬元,其中本年支出合計1579.47萬元,較2017年增加472.12萬元,增長42.63 %,主要原因是:2018年支付脫貧攻堅項目資金增加;年末結轉和結余356.66萬元,較2017年減少35.32萬元,下降9.01 %,主要原因是:脫貧攻堅及單位正常支出。
本年支出的具體構成為:基本支出552.06萬元,占43.9%;項目支出1027.41萬元,占65.0%;經營支出0萬元,占0%;其他支出(對附屬單位補助支出、上繳上級支出)0萬元,占0%。
三、財政撥款支出決算情況說明
本部門2018年度財政撥款本年支出年初預算數為1579.47萬元,決算數為1579.47萬元,完成年初預算的100%。其中:
(一)一般公共服務支出年初預算數為340.88萬元,決算數為340.88萬元,完成年初預算的100%,主要原因是維持單位正常支出。
(二)社會保障與就業支出年初預算數為4.30萬元,決算數為4.30萬元,完成年初預算的100%,主要原因是:單位正常支出。
(三)醫療衛生與計劃生育支出年初預算數為29.73萬元,決算數為29.73萬元,完成年初預算的100%,主要原因是:單位正常運轉支出。
(四)城鄉社區支出年初預算數為15.02萬元,決算數為15.02萬元,完成年初預算的100%,主要原因是:單位正常支出。
(五)農林水支出年初預算數為1092.16萬元,決算數為1092.16萬元,完成年初預算的100%,主要原因是:單位正常支出。
(六)交通運輸支出年初預算數為4萬元,決算數為4萬元,完成年初預算的100%,主要原因是:單位正常支出。
(七)住房保障支出年初預算數為88.38萬元,決算數為88.38萬元,完成年初預算的100%,主要原因是:單位正常支出。
(八)其他支出年初預算數為5萬元,決算數為5萬元,完成年初預算的100%,主要原因是:單位正常支出。
四、一般公共預算財政撥款基本支出決算情況說明
本部門2018年度一般公共預算財政撥款基本支出551.06萬元,其中:
(一)工資福利支出326.15萬元,較2017年增加78.09 萬元,增長31.48 %,主要原因是:單位正常運轉支出。
(二)商品和服務支出222.26萬元,較2017年增加94.1萬元,增長73.42%,主要原因是:單位正常運轉支出。
(三)對個人和家庭補助支出2.66萬元,較2017年減少29.93萬元,下降91.83%,主要原因是:單位正常運轉支出。
(四)資本性支出0萬元,較2017年增加(減少)0萬元,增長(下降)0%,主要原因是:。
五、一般公共預算財政撥款“三公”經費支出決算情況說明
本部門2018年度一般公共預算財政撥款“三公”經費支出年初預算數為10.3萬元,決算數為 9.3萬元,完成預算的90.29%,決算數較2017年減少0.1萬元,下降1.06%,其中:
(一)因公出國(境)支出年初預算數為0萬元,決算數為 0萬元,完成預算的0%,決算數較2017年增加(減少)0萬元,增長(下降)0%。決算數較年初預算數增加(減少)的主要原因是:……。
(二)公務接待費支出年初預算數為5萬元,決算數為4.4萬元,完成預算的88%,決算數較2017年減少0.04萬元,下降0.9%。決算數較年初預算數減少的主要原因是:單位正常運轉。
(三)公務用車購置及運行維護費支出5.3萬元,其中公務用車購置年初預算數為0萬元,決算數為0萬元,完成預算的0%,決算數較2017年增加(減少)0萬元,公務用車運行維護費支出年初預算數為5.3萬元,決算數為4.9萬元,完成預算的92.45%,決算數較2017年減少0.05萬元,下降1%。決算數較年初預算數增加(減少)的主要原因是:減少公車運行費用,單位正常開支。
六、機關運行經費支出情況說明
本部門2018年度機關運行經費支出551.06萬元(與部門決算中行政單位和參照公務員法管理事業單位一般公共預算財政撥款基本支出中公用經費之和保持一致),較年初預算數增加(減少) 萬元,增長(降低) %,主要原因是:……。
七、政府采購支出情況說明
本部門2018年度政府采購支出總額0萬元,其中:政府采購貨物支出0萬元、政府采購工程支出0萬元、政府采購服務支出0萬元。授予中小企業合同金額0萬元,占政府采購支出總額的0%,其中:授予小微企業合同金額0萬元,占政府采購支出總額的0%。(省級部門公開的政府采購金額的計算口徑為:本部門納入2018年部門預算范圍的各項政府采購支出金額之和,并做好與2018年度政府采購信息統計報表中“政府采購資金情況表”有關數據的銜接。)
八、國有資產占用情況說明。
截止2018年12月31日,本部門共有車輛2輛,其中,副部(省)級及以上領導用車 輛、主要領導干部用車 輛、機要通信用車 輛、應急保障用車 輛、執法執勤用車 輛、特種專業技術用車 輛、其他用車2輛,其他用車主要是……;單位價值50萬元以上通用設備 臺(套);單位價值100萬元以上專用設備 臺(套)。
九、預算績效情況說明
(一)績效管理工作開展情況。
根據預算績效管理要求,我部門組織對2018年度一般公共預算項目支出全面開展績效自評,其中,一級項目 個,二級項目
個,共涉及資金 萬元,占一般公共預算項目支出總額的 %。組織對2018年度XXX、XXX等 個政府性基金預算項目支出開展績效自評,共涉及資金 萬元,占政府性基金預算項目支出總額的 %。
共組織對“XXX”、“XXX”等 個項目進行了重點績效評價,涉及一般公共預算支出 萬元,政府性基金預算支出 萬元。其中,對“XXX”、“XXX”等項目分別委托“XXX”、“XXX”等第三方機構開展績效評價。從評價情況來看,……(請對預算績效評價情況進行簡單說明)。
組織對“XXX”、“XXX”等 個部門(單位)開展整體支出績效評價試點,涉及一般公共預算支出 萬元,政府性基金預算支出 萬元。其中,對“XXX”、“XXX”等部門(單位)整體支出分別委托“XXX”、“XXX”等第三方機構開展績效評價。從評價情況來看,……(請對整體支出績效評價情況進行簡單說明)。
(二)部門決算中項目績效自評結果(選擇1至2個項目)。
我部門今年在省級部門決算中反映XXX及XXX項目績效自評結果。
XXX項目績效自評綜述:根據年初設定的績效目標,XXX 項目績效自評得分為 分。項目全年預算數為 萬元,執行數為
萬元,完成預算的 %。主要產出和效果:一是……;二是……。發現的問題及原因:一是……;二是……。下一步改進措施:一是……;二是……。
XXX項目績效自評綜述:……。
在公開項目績效自評綜述的同時,需公開《項目支出績效自評表》。
第四部分 名詞解釋
1.財政撥款收入:指本年度從本級財政部門取得的財政撥款,包括一般公共預算財政撥款和政府性基金預算財政撥款。
2.事業收入:指事業單位開展專業業務活動及其輔助活動取得的收入;事業單位收到的財政專戶實際核撥的教育收費等資金在此反映。
3.經營收入:指事業單位在專業業務活動及其輔助活動之外開展非獨立核算經營活動取得的收入。
4.年初結轉和結余:指單位上年結轉本年使用的基本支出結轉、項目支出結轉和結余、經營結余。不包括事業單位凈資產項下的事業基金和專用基金。
5.年末結轉和結余:指單位結轉下年的基本支出結轉、項目支出結轉和結余、經營結余。不包括事業單位凈資產項下的事業基金和專用基金。
6.基本支出:指為保障機構正常運轉、完成日常工作任務而發生的人員經費和公用經費。其中:人員經費指政府收支分類經濟科目中的“工資福利支出”和“對個人和家庭的補助”;公用經費指政府收支分類經濟科目中除“工資福利支出”和“對個人和家庭的補助”外的其他支出。
7.項目支出:指在基本支出之外為完成特定行政任務和事業發展目標所發生的支出。
8.經營支出:指事業單位在專業業務活動及其輔助活動之外開展非獨立核算經營活動發生的支出。
9.“三公”經費:指用財政撥款安排的因公出國(境)費、公務用車購置及運行維護費、公務接待費。其中,因公出國(境)費反映單位公務出國(境)的國際旅費、國外城市間交通費、住宿費、伙食費、培訓費、公雜費等支出;公務用車購置費反映單位公務用車購置支出(含車輛購置稅);公務用車運行維護費反映單位按規定保留的公務用車燃料費、維修費、過路過橋費、保險費、安全獎勵費用等支出;公務接待費反映單位按規定開支的各類公務接待(含外賓接待)支出。
10.機關運行經費:為保障行政單位(含參照公務員法管理的事業單位)運行用于購買貨物和服務等的各項公用經費,包括辦公及印刷費、郵電費、差旅費、會議費、福利費、日常維護費、專用材料及一般設備購置費、辦公用房水電費、辦公用房取暖費、辦公用房物業管理費、公務用車運行維護費以及其他費用。
11.工資福利支出(支出經濟分類科目類級):反映單位開支的在職職工和編制外長期聘用人員的各類勞動報酬,以及為上述人員繳納的各項社會保險費等。
12.商品和服務支出(支出經濟分類科目類級):反映單位購買商品和服務的支出(不包括用于購置固定資產的支出、戰略性和應急儲備支出)。
13.對個人和家庭的補助(支出經濟分類科目類級):反映用于對個人和家庭的補助支出。
14.其他資本性支出(支出經濟分類科目類級):反映非各級發展與改革部門集中安排的用于購置固定資產、戰略性和應急性儲備、土地和無形資產,以及構建基礎設施、大型修繕和財政支持企業更新改造所發生的支出。
